Appendix A - Example Equations (4.3 & 5.11)

Example 4.3 Full Equations

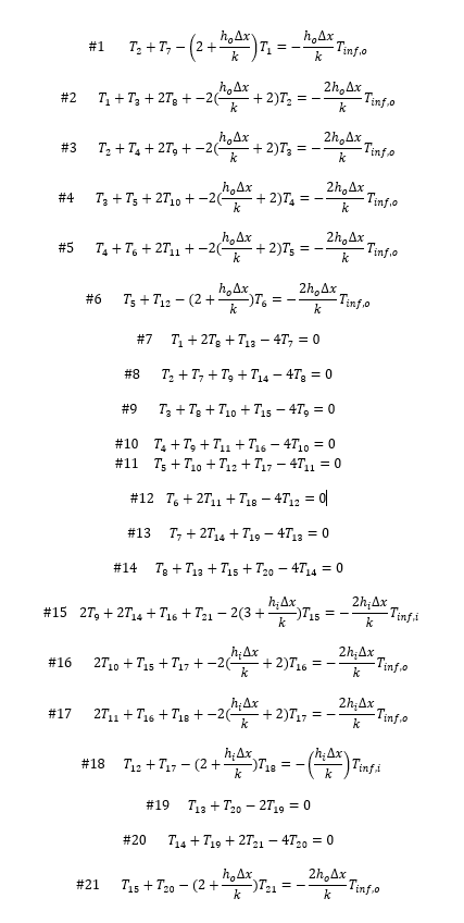
Example 5.11 Full Equations

Appendix B - MATLAB Code (Examples 4.3 & 5.11)

Example 4.3 need better format - Chad

%%HTProjEX4point3

clear

clc

% given values

k = 25; % W/m-K

dx = 0.001; % m

h_outer = 1000; % W/m^2-K

h_inner = 200; % W/m^2-K

T_outer = 1700; % K

T_inner = 400; % K

% blank matrix A and constant vector C

A = zeros(21,21);

C = zeros(21,1);

% row then column

% node 1

A(1,1) = -(2+(h_outer*dx/k));

A(1,2) = 1;

A(1,7) = 1;

C(1) = -(h_outer*dx/k)*T_outer;

% node 2

A(2,1) = 1;

A(2,2) = -2*((h_outer*dx/k) + 2);

A(2,3) = 1;

A(2,8) = 2;

C(2) = -2*(h_outer*dx/k)*T_outer;

% node 3

A(3,2) = 1;

A(3,3) = -2*((h_outer*dx/k) + 2);

A(3,4) = 1;

A(3,9) = 2;

C(3) = -2*(h_outer*dx/k)*T_outer;

% node 4

A(4,3) = 1;

A(4,4) = -2*((h_outer*dx/k) + 2);

A(4,5) = 1;

A(4,10) = 2;

C(4) = -2*(h_outer*dx/k)*T_outer;

% node 5

A(5,4) = 1;

A(5,5) = -2*((h_outer*dx/k) + 2);

A(5,6) = 1;

A(5,11) = 2;

C(5) = -2*(h_outer*dx/k)*T_outer;

% node 6

A(6,5) = 1;

A(6,6) = -(2+(h_outer*dx/k));

A(6,12) = 1;

C(6) = -2*(h_outer*dx/k)*T_outer;

% node 7

A(7,1) = 1;

A(7,7) = -4;

A(7,8) = 2;

A(7,13) = 1;

C(7) = 0;

% node 8

A(8,2) = 1;

A(8,7) = 1;

A(8,8) = -4;

A(8,9) = 1;

A(8,14) = 1;

C(8) = 0;

% node 9

A(9,3) = 1;

A(9,8) = 1;

A(9,9) = -4;

A(9,10) = 1;

A(9,15) = 1;

C(9) = 0;

% node 10

A(10,4) = 1;

A(10,9) = 1;

A(10,10) = -4;

A(10,11) = 1;

A(10,16) = 1;

C(10) = 0;

% Node 11

A(11,5) = 1;

A(11,10) = 1;

A(11,11) = -4;

A(11,12) = 1;

A(11,17) = 1;

% node 12

A(12,6) = 1;

A(12,11) = 2;

A(12,12) = -4;

A(12,18) = 1;

C(12) = 0;

% node 13

A(13,7) = 1;

A(13,13) = -4;

A(13,14) = 2;

A(13,19) = 1;

C(13) = 0;

% node 14

A(14,8) = 1;

A(14,13) = 1;

A(14,14) = -4;

A(14,15) = 1;

A(14,20) = 1;

C(14) = 0;

% node 15

A(15,9) = 2;

A(15,14) = 2;

A(15,15) = -2*(3+(h_inner*dx/k));

A(15,16) = 1;

A(15,21) = 1;

C(15) = -2*(h_inner*dx/k)*T_inner;

% node 16

A(16,10) = 2;

A(16,15) = 1;

A(16,16) = -2*((h_inner*dx/k) + 2);

A(16,17) = 1;

C(16) = -2*(h_inner*dx/k)*T_inner;

% node 17

A(17,11) = 2;

A(17,16) = 1;

A(17,17) = -2*((h_inner*dx/k) + 2);

A(17,18) = 1;

C(17) = -2*(h_inner*dx/k)*T_inner;

% node 18

A(18,12) = 1;

A(18,17) = 1;

A(18,18) = -(2+(h_inner*dx/k));

C(18) = -(h_inner*dx/k)*T_inner;

% node 19

A(19,13) = 1;

A(19,19) = -2;

A(19,20) = 1;

% node 20

A(20,14) = 1;

A(20,19) = 1;

A(20,20) = -4;

A(20,21) = 2;

% node 21

A(21,15) = 1;

A(21,20) = 1;

A(21,21) = -(2+(h_inner*dx/k));

C(21) = -2*(h_inner*dx/k)*T_inner;

% solve for nodal temperatures

T = A \ C;

% results

disp('Nodal temperatures for Example 4.3 (K):')

for n = 1:21

fprintf('T%-2.0f = %8.2f K\n', n, T(n))

end